(Bài phỏng vấn Bác sỹ Vaclav Vetvicka, là Tiến sĩ Phó Giáo sư tại Khoa Bệnh học, Phòng thí nghiệm và khoa miễn dịch học của Trường Y, Đại học Louisville, Hoa kỳ , người đã cống hiến 15 năm nghiên cứu về Beta Glucan)

Ảnh: Tiến sĩ Vaclav Vetvicka

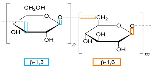
Ảnh: Cấu trúc của Beta - Glucan 1
Hỏi: Bác sỹ là thành viên của hiệp hội miễn dịch học của Séc và Hoa Kỳ, Bác sỹ có thể giải thích “miễn dịch” có nghĩa là gì ?
Trả lời: Nó là môn khoa học nghiên cứu mọi thứ liên quan đến sức đề kháng và hệ miễn dịch của cơ thể, nói cách khác là nghiên cứu cơ chế phản ứng của cơ thể khi đối diện với các nguy cơ về sức khỏe như virut, vi khuẩn, tế bào ung thư, vết thương…, bất cứ tấn công nào làm cơ thể mang bệnh.
Trả lời: Nó là môn khoa học nghiên cứu mọi thứ liên quan đến sức đề kháng và hệ miễn dịch của cơ thể, nói cách khác là nghiên cứu cơ chế phản ứng của cơ thể khi đối diện với các nguy cơ về sức khỏe như virut, vi khuẩn, tế bào ung thư, vết thương…, bất cứ tấn công nào làm cơ thể mang bệnh.
Hỏi: Thưa Bác Sỹ mặc dầu Beta Glucan dùng được cho nhiều bệnh khác nhau , nhưng nghiên cứu của bác sỹ chủ yếu tập trung và tác dụng của Beta Glucan lên ung thư. Trước khi đi vào chi tiết, bác sỹ cho biết Beta Glucan là gì?
Trả lời: Beta glucan là một polysaccharide (tức là một chuỗi của các phân tử glucose) được tìm thấy trong thực phẩm như yến mạch, lúa mạch, nấm và nấm men , trong tự nhiên có nhiều loại Beta Glucan , nhiều nghiên cứu đã chứng minh, trong các Beta Glucan, Beta Glucan 1,3/1,6 có tác dụng lên hệ miễn dịch mạnh nhất .
Hỏi : Cơ chế tác động của Beta Glucan như thế nào thưa BS ?
Trả lời :Beta Glucan kích hoạt đại thực bào Macrophage, một loại bạch cầu chịu trách nhiệm một loạt các tác động bảo vệ và tăng cường hệ miễn dịch và tạo ra các đáp ứng tối ưu chống lại các yếu tố nguy hại với cơ thể, Macrophage là loại tế bào liên quan đến miễn dịch tự nhiên, chúng “nuốt” các yếu tố ngoại lai gây nguy hại cho cơ thể và phá hủy chúng. Macrophage cũng tạo ra các hóa chất, các hóa chất này sẽ kích hoạt các loại tế bào miễn dịch khác để tập trung bảo vệ cơ thể . Macrophage cũng tạo ra các yếu tố tăng trưởng cho các tế bào để tăng liền các mô bị thương tổn . Macrophage liên quan đến quá trình giải độc hàng ngày, cải thiện hệ vi khuẩn đường ruột, chống nhiễm trùng , chống khối u và bảo vệ sức khỏe tổng quát
Hỏi : Điều hòa miễn dịch, hay kích hoạt hệ miễn dịch có ý nghĩa như thế nào ?
Hỏi : Điều hòa miễn dịch, hay kích hoạt hệ miễn dịch có ý nghĩa như thế nào ?
Trả lời : Nó có nghĩa là làm cho hệ miễn dịch hoạt động ở mức tối ưu nhất, nó có thể phát hiện sớm các tế bào lạ ( với cơ thể) và tiêu diệt chúng . Điều này rất quan trọng bởi vì tế bào ung thư có khả năng ngụy trang rất cao, và hệ miễn dịch của bạn không phải lúc nào cũng nhận biết được chúng, ở đây Beta Glucan giúp hệ miễn dịch nhận ra và tiêu diệt tế bào lạ , và không phương hại các tế bào lành của cơ thể , việc này cũng giúp cải thiện các bệnh tự miễn như lupus , xơ cứng rải rác, thấp khớp và bệnh Crone . Bạn cũng có thể nghe thấy Beta Glucan là chất thay đổi đáp ứng sinh học “biological respone modifiers” bởi vì nó có khả năng kích hoạt hệ miễn dịch , có ý nghĩa tương tự như điều hòa miễn dịch .
Hỏi: Trước khi chúng ta tiếp tục, xin bác sỹ cho biết hệ miễn dịch quan trọng như thế nào ?
Trả lời: Hệ miễn dịch đóng vai trò bảo vệ cơ thể, giúp chúng ta khỏe mạnh, nó bao gồm nhiều loại tế bào khác nhau, tác dụng cũng khác nhau, tất cả chúng bảo vệ cơ thể chống lại các yếu tố ngoại lai, bảo vệ chúng ta được an toàn. Tế bào quan trọng của hệ miễn dịch tương tác với Beta Glucan là đại thực bào, tế bào sát thủ tự nhiên NK Cell và tế bào miễn dịch neutrophil .
Hỏi:Vậy chúng ta làm sao vẫn được khỏe mạnh mà không dùng Beta Glucan?
Trả lời: Bình thường thì chúng ta vốn khỏe mạnh, nhưng bạn nhớ rằng cơ thể chúng ta liên tục bị tấn công bởi vi khuẩn và các yếu tố ngoại lai. Do vậy hệ miễn dịch sẽ bị kiệt sức, và lúc đó việc sử dụng Beta Glucan sẽ rất quan trọng, nó ứng cứu và kích hoạt làm hệ miễn dịch mạnh lên .
Hỏi : Vậy cần thiết phải tăng cường hệ miễn dịch ?
Trả lời: Hệ miễn dịch của chúng ta sẽ làm việc hết khả năng của chúng, nhưng bạn nên nhớ rằng chúng ta đang sống trong điều kiện nguy hại như nhiễm khuẩn, virut,các yếu tố bên ngoài liên tục xâm nhiễm cơ thể, hệ miễn dịch sẽ hoạt động quá sức , không thể làm việc tiếp được, hoặc làm việc yếu ớt, điều này sẽ xẩy ra trong trường hợp như ăn uống kém, tiêu thụ ruợu bia quá độ, stress, thiếu ngủ, chế độ ăn thiếu vitamin, khoáng chất, sử dụng nhiều loại thuốc, không hoạt động thể thao, môi trường ô nhiễm , do vậy hệ miễn dịch cần phải được ứng cứu. Trong trường hợp bệnh ung thư, thực tế cho thấy rằng, tế bào ung thư khá thông minh, và ngụy trang như là một tế bào lành, làm cho hệ miễn dịch khó nhận biết để tiêu diệt chúng, điều này giải thích tại sao chất kích hoạt miễn dịch Beta Glucan hữu ích . Nhờ có Beta Glucan, các tế bào miễn dịch sẽ nhận ra tế bào ung thư và tiêu diệt chúng .
Hỏi: Tôi có nghe về nhiều chất tăng cường miễn dịch. Beta Glucan có nằm trong nhóm đó không ?
Trả lời: Không, các chất tăng cường miễn dịch khác có thể làm cho hệ miễn dịch kích hoạt quá mức, có nghĩa rằng sẽ làm cho một số trường hợp tồi tệ hơn , ví dụ các bệnh tự miễn như lupus, xơ cứng rải rác, viêm thấp khớp, dị ứng và nhiễm nấm. Ở đây Beta Glucan có kích hoạt hệ miễn dịch , nhưng không bao giờ kích hoạt quá mức, them nữa Beta Glucan là một trong vài chất điểu hòa miễn dịch mà chúng ta hiểu rõ thành phần cũng như cơ chế tác dụng .
Hỏi: Trước khi chúng ta tiếp tục, xin bác sỹ cho biết hệ miễn dịch quan trọng như thế nào ?
Trả lời: Hệ miễn dịch đóng vai trò bảo vệ cơ thể, giúp chúng ta khỏe mạnh, nó bao gồm nhiều loại tế bào khác nhau, tác dụng cũng khác nhau, tất cả chúng bảo vệ cơ thể chống lại các yếu tố ngoại lai, bảo vệ chúng ta được an toàn. Tế bào quan trọng của hệ miễn dịch tương tác với Beta Glucan là đại thực bào, tế bào sát thủ tự nhiên NK Cell và tế bào miễn dịch neutrophil .
Hỏi:Vậy chúng ta làm sao vẫn được khỏe mạnh mà không dùng Beta Glucan?
Trả lời: Bình thường thì chúng ta vốn khỏe mạnh, nhưng bạn nhớ rằng cơ thể chúng ta liên tục bị tấn công bởi vi khuẩn và các yếu tố ngoại lai. Do vậy hệ miễn dịch sẽ bị kiệt sức, và lúc đó việc sử dụng Beta Glucan sẽ rất quan trọng, nó ứng cứu và kích hoạt làm hệ miễn dịch mạnh lên .
Hỏi : Vậy cần thiết phải tăng cường hệ miễn dịch ?
Trả lời: Hệ miễn dịch của chúng ta sẽ làm việc hết khả năng của chúng, nhưng bạn nên nhớ rằng chúng ta đang sống trong điều kiện nguy hại như nhiễm khuẩn, virut,các yếu tố bên ngoài liên tục xâm nhiễm cơ thể, hệ miễn dịch sẽ hoạt động quá sức , không thể làm việc tiếp được, hoặc làm việc yếu ớt, điều này sẽ xẩy ra trong trường hợp như ăn uống kém, tiêu thụ ruợu bia quá độ, stress, thiếu ngủ, chế độ ăn thiếu vitamin, khoáng chất, sử dụng nhiều loại thuốc, không hoạt động thể thao, môi trường ô nhiễm , do vậy hệ miễn dịch cần phải được ứng cứu. Trong trường hợp bệnh ung thư, thực tế cho thấy rằng, tế bào ung thư khá thông minh, và ngụy trang như là một tế bào lành, làm cho hệ miễn dịch khó nhận biết để tiêu diệt chúng, điều này giải thích tại sao chất kích hoạt miễn dịch Beta Glucan hữu ích . Nhờ có Beta Glucan, các tế bào miễn dịch sẽ nhận ra tế bào ung thư và tiêu diệt chúng .
Hỏi: Tôi có nghe về nhiều chất tăng cường miễn dịch. Beta Glucan có nằm trong nhóm đó không ?
Trả lời: Không, các chất tăng cường miễn dịch khác có thể làm cho hệ miễn dịch kích hoạt quá mức, có nghĩa rằng sẽ làm cho một số trường hợp tồi tệ hơn , ví dụ các bệnh tự miễn như lupus, xơ cứng rải rác, viêm thấp khớp, dị ứng và nhiễm nấm. Ở đây Beta Glucan có kích hoạt hệ miễn dịch , nhưng không bao giờ kích hoạt quá mức, them nữa Beta Glucan là một trong vài chất điểu hòa miễn dịch mà chúng ta hiểu rõ thành phần cũng như cơ chế tác dụng .
Hỏi: Có phải rằng cơ thể của chúng ta luôn có nguy cơ ung thư, nhưng không phát triển bởi vì hệ miễn dịch phát hiện và tiêu diệt chúng ?
Trả lời: Tất nhiên rồi, hàng rào đầu tiên bảo vệ bạn tránh khỏi ung thư và bất cứ căn bệnh nào là hệ miễn dịch. Tuy nhiên lý thuyết là ung thư luôn hiện diện và hệ miễn dịch giảm nguy cơ đó hiện vẫn đang là giả thiết .
Hỏi: Vậy thì Beta Glucan tiêu diệt tế bào ung thư như thế nào ?
Trả lời: Beta glucan không tham gia trực tiếp vào quá trình tiêu diệt tế bào ung thư, chúng chỉ kích hoạt hệ miễn dịch, để hệ miễn dịch làm việc chống lại bệnh ung thư hiệu quả hơn.
Hỏi: Vậy theo Bác sỹ, sử dụng Beta Glucan thường xuyên có dự phòng được ung thư không ?
Trả lời : Tất nhiên rồi, để bảo vệ bạn khỏi ung thư và bao nhiêu căn bệnh khác, những căn bệnh có thể tránh khỏi nếu có một hệ miễn dịch khỏe mạnh . Tuy nhiên vẫn có nhiều điều chúng ta chưa biết hết, mặc dù chúng ta có thể tuyên bố rằng Beta Glucan là chất tăng cường miễn dịch quan trọng nhất có từ thiên nhiên mà chúng ta biết đến, chúng ta cũng có nguy cơ phơi nhiễm với tác nhân sinh ung thư hàng ngày, nên trừ khi chúng ta trải nghiệm sử dụng Beta Glucan và sẽ thấy nó hiệu quả ra sao, chứ chúng ta không chắc chắn được tất cả, nhưng có một điều tôi khẳng định là Beta Glucan có tác dụng chống lại nhiều loại ung thư khác nhau, do vậy sử dụng Beta Glucan thường xuyên sẽ làm giảm nguy cơ bị ung thư.
Hỏi: Giả sử rằng tôi bị ung thư, bất cứ loại ung thư nào, liệu tôi có nên dùng Beta Glucan không ?
Trả lời: Tất nhiên là bạn nên dùng, bởi vì bạn sẽ thấy Beta Glucan sẽ làm chậm hoặc dừng sự tiến triển của bệnh, thêm nữa, bởi vì hệ miễn dịch của bạn bị yếu đi, bạn có nguy cơ mắc phải các loại virut, vi khuẩn. Cơ thể chọi lại bệnh ung thư đã rất vất vả, nhưng bị ung thư kèm thêm nhiễm khuẩn thì còn tồi tệ hơn. Beta Glucan giúp tăng cường miễn dịch sẽ có thêm nhiều lợi ích
Hỏi:Nếu tôi phải phẫu thuật, cho một bệnh ung thư hoặc bất cứ bệnh nào khác, liệu dùng Beta Glucan có hữu ích không ?
Trả lời: Tất nhiên, trường hợp này bạn cũng có thể sử dụng Beta Glucan, do khi phẫu thuật, hệ miễn dịch sẽ bị yếu đi. Nếu bạn phẫu thuật để chỉnh sửa cơ học nào đó như thay khớp háng chẳng hạn, hệ miễn dịch của bạn có thể vẫn ổn, nhưng phẫu thuật sẽ gây nên shock cho cơ thể, cơ thể phải làm việc cực nhọc để đối mặt với các tác động bên ngoài. Bạn sẽ lành bệnh và hồi phục nhanh hơn với đội quân miễn dịch mới hình thành nhờ Beta Glucan. Cũng có bằng chứng cho thấy Beta Glucan giúp sửa chữa và tái tạo mô sau phẫu thuật. Phẫu thuật của bận có thể là để điều trị một tổ chức nào đó như phổ chẳng hạn, việc nhiễm trùng phổi rất nguy hiểm cho sự hồi phục sau mổ, Beta Glucan có thể giúp bạn chống lại sự nhiễm trùng đó . Thêm nữa, Beta Glucan cũng bảo vệ bạn chống lại nhiễm khuẩn mà bạn có thể mắc phải ở bệnh viện, nhất là nhiễm khuẩn bệnh viện, sốc nhiễm khuẩn như E.coli và S.aureus .
Hỏi: Liệu sử dụng Beta Glucan có dự phòng được ung thư ác tính không ?
Trả lời: Tất nhiên là có thể, bởi vì Beta Glucan tích cực làm giảm số lượng tế bào ung thư . Di căn ác tính vẫn có thể xảy ra, nhưng sẽ khó khăn hơn hoặc quá trình di căn sẽ bị chậm đi. Nên nhớ rằng không có một loại thuốc chống ung thư nào là thần kỳ, và Beta Glucan cũng vậy. Tuy nhiên, Beta Glucan được nhiều nghiên cứu khoa học khẳng định tiêu diệt tế bào ung thư .
Hỏi: Tôi phải trải qua một đợt xạ trị điều trị khối u, liệu tôi có dùng Beta Glucan được không?
Trả lời: Tât nhiên là Beta Glucan giúp bạn rất đắc lực trong trường hợp này , nhiều nghiên cứu đã chứng minh rằng những người trải qua xạ trị có dùng Beta Glucan thì ít gặp tác dụng phụ hơn rất nhiều so với những người không dùng , họ ít bị bỏng da, mẩn đỏ da hoặc bị tác dụng oxy hóa của tia x. Beta Glucan kích thích các tế bào gốc tủy xương để sản xuất ra các tiền thân của immunocyte nhanh hơn. Hàng loạt các nghiên cứu thực hiện ở nhiều nước khác nhau cho thấy bệnh nhân phục hồi nhanh hơn 30 – 50 % . Điều kỳ diệu là Beta Glucan bảo vệ các tế bào khỏe mạnh khỏi hư hại bởi tác dụng của tia xạ mà không can thiệp đến hiệu quả điều trị của tia xạ đến tế bào ung thư, do vậy bạn nhận được tất cả các lợi thế của việc điều trị mà không có bất lợi . Một số các nghiên cứu riêng còn chỉ ra rằng Beta Glucan kích thích tạo tế bào máu ở tủy xương
Hỏi: Vậy Beta Glucan giúp gì tôi nếu tôi đang phải truyền hóa chất ?
Trả lời: Beta Glucan rất có lợi cho những người dùng hóa trị, thuốc hóa trị là thuốc tiêu diệt tế bào không phân biệt tế bào lành hay tế bào ung thư, các thuốc hóa trị được kỳ vọng tiêu diệt tế bào ung thư nhanh hơn các tế bào lành, nhưng các tế bào lành cũng có nhiều nguy cơ bị tấn công. Do vậy bệnh nhân hóa trị sẽ bị yếu đi do các tế bào miễn dịch cũng bị hóa chất tiêu diệt . Trong khi đó, nếu bạn sử dụng Beta Glucan, nó sẽ bảo vệ hệ miễn dịch của bạn, trong lúc để hóa chất tiêu diệt các tế bào ung thư. Việc sản xuất các tế bào bạch cầu ( tế bào của hệ thống miễn dịch) sẽ bắt đầu nhanh chóng xẩy ra sau khi bạn kết thúc hóa trị, giúp bạn phục hồi nhanh hơn rất nhiều . Các nghiên cứu cũng đã chứng minh người có dùng Beta Glucan cùng lúc với hóa trị, được kéo dài thời gian sống còn hơn người không dùng . Tổng kết lại, với bệnh nhân dùng Beta Glucan đồng thời với hóa trị, họ sẽ ít gặp tác dụng phụ hơn, không cảm thấy hoàn toàn bị bệnh và hiệu quả của hóa trị tăng lên rất nhiều, nói theo cách khác việc bổ xung Beta Glucan thực sự có lợi ích, hiệu quả của Beta Glucan ở đây giống như trong trường hợp chiếu tia xạ .
Hỏi: Một tác dụng phụ là bệnh nhân truyền hóa chất thường lo lắng là rụng tóc, Beta Glucan có làm giảm rụng tóc không
Trả lời: Cái này thì tôi chưa chắc chắn lắm, vì hiện mới đang được nghiên cứu, nhưng so sánh với việc sử dụng Beta Glucan, sự sản xuất nhanh đến mức kinh ngạc của tế bào tủy xương, cũng như tốc độ lành lặn của nó, thì đội tóc giả cũng chỉ là một vấn đề nhỏ . Tuy nhiên tôi cũng có một ca bệnh khá hay, một người bạn của tôi sử dụng Beta Glucan , có truyền hóa chất và tia xạ, và anh ấy không bị rụng tóc, anh ấy cũng sống được thêm 2 năm nữa , lâu hơn so với tiên lượng của bác sỹ, kỳ diệu hơn nữa là anh ấy không phải chịu nhiều các cơn đau .
Hỏi: Sau khi uống bao lâu thì Beta Glucan có tác dụng
Trả lời: Khoảng 10 cho đến 15 ngày sau khi sử dụng , tế bào tủy xương sẽ bắt đầu nhanh chóng sản sinh bạch cầu và lưu hành khắp cơ thể , chúng sẽ dọn sạch các yếu tố nguy cơ như vi khuẩn, virut, tế bào ung thư, nấm, ký sinh …, do vậy nếu bạn chuẩn bị phải trải qua phẫu thật, xạ trị, truyền hóa chất, hoặc thậm chí chuẩn bị đi đến khu vực có điều kiện vệ sinh kém hoặc di chuyển bằng máy bay , bạn nên sử dụng Beta Glucan tối thiểu 15 ngày trước đó, lúc đói, trước ăn 30 phút . Để dự phòng và bảo vệ hệ miễn dịch , bạn nên sử dụng Beta Glucan hàng ngày
Hỏi: Đã có ai được điều trị ung thư sử dụng Beta Glucan một mình chưa ?
Trả lời: Tôi cũng nhấn mạnh là bạn nên sử dụng Beta Glucan cùng với các phương pháp điều trị quy ước. Beta Glucan thêm vào giúp tăng hiệu quả của các phương pháp điều trị đó, như phẫu thuật, xạ trị, truyền hóa chất hoặc bất cứ phương pháp nào khác. Beta Glucan giúp tăng cường hệ miễn dịch cho bạn chống lại căn bệnh ung thư, chứ không thay thế các phương pháp điều trị quy ước. Beta Glucan được đăng ký là thuốc tại Nhật bản, các nước khác được đăng ký là sản phẩm hỗ trợ .
Trả lời: Cái này thì tôi chưa chắc chắn lắm, vì hiện mới đang được nghiên cứu, nhưng so sánh với việc sử dụng Beta Glucan, sự sản xuất nhanh đến mức kinh ngạc của tế bào tủy xương, cũng như tốc độ lành lặn của nó, thì đội tóc giả cũng chỉ là một vấn đề nhỏ . Tuy nhiên tôi cũng có một ca bệnh khá hay, một người bạn của tôi sử dụng Beta Glucan , có truyền hóa chất và tia xạ, và anh ấy không bị rụng tóc, anh ấy cũng sống được thêm 2 năm nữa , lâu hơn so với tiên lượng của bác sỹ, kỳ diệu hơn nữa là anh ấy không phải chịu nhiều các cơn đau .
Hỏi: Sau khi uống bao lâu thì Beta Glucan có tác dụng
Trả lời: Khoảng 10 cho đến 15 ngày sau khi sử dụng , tế bào tủy xương sẽ bắt đầu nhanh chóng sản sinh bạch cầu và lưu hành khắp cơ thể , chúng sẽ dọn sạch các yếu tố nguy cơ như vi khuẩn, virut, tế bào ung thư, nấm, ký sinh …, do vậy nếu bạn chuẩn bị phải trải qua phẫu thật, xạ trị, truyền hóa chất, hoặc thậm chí chuẩn bị đi đến khu vực có điều kiện vệ sinh kém hoặc di chuyển bằng máy bay , bạn nên sử dụng Beta Glucan tối thiểu 15 ngày trước đó, lúc đói, trước ăn 30 phút . Để dự phòng và bảo vệ hệ miễn dịch , bạn nên sử dụng Beta Glucan hàng ngày
Hỏi: Đã có ai được điều trị ung thư sử dụng Beta Glucan một mình chưa ?
Trả lời: Tôi cũng nhấn mạnh là bạn nên sử dụng Beta Glucan cùng với các phương pháp điều trị quy ước. Beta Glucan thêm vào giúp tăng hiệu quả của các phương pháp điều trị đó, như phẫu thuật, xạ trị, truyền hóa chất hoặc bất cứ phương pháp nào khác. Beta Glucan giúp tăng cường hệ miễn dịch cho bạn chống lại căn bệnh ung thư, chứ không thay thế các phương pháp điều trị quy ước. Beta Glucan được đăng ký là thuốc tại Nhật bản, các nước khác được đăng ký là sản phẩm hỗ trợ .
SẢN PHẨM NGỪA BỆNH UNG THƯ VÀ HỖ TRỢ ĐIỀU TRỊ XẠ TRỊ HÓA TRỊ
Supreme Beta Glucan 95% kích hoạt đại thực bào Macrophage, một loại bạch cầu chịu trách nhiệm một loạt các tác động bảo vệ và tăng cường hệ miễn dịch và tạo ra các đáp ứng tối ưu chống lại các yếu tố nguy hại với cơ thể, Macrophage là loại tế bào liên quan đến miễn dịch tự nhiên, chúng “nuốt” các yếu tố ngoại lai gây nguy hại cho cơ thể và phá hủy chúng. Macrophage cũng tạo ra các hóa chất, các hóa chất này sẽ kích hoạt các loại tế bào miễn dịch khác để tập trung bảo vệ cơ thể . Macrophage cũng tạo ra các yếu tố tăng trưởng cho các tế bào để tăng liền các mô bị thương tổn . Macrophage liên quan đến quá trình giải độc hàng ngày, cải thiện hệ vi khuẩn đường ruột, chống nhiễm trùng , chống khối u và bảo vệ sức khỏe tổng quát
Supreme Beta Glucan hỗ trợ điều trị ung thư hiệu quả chính hãng của Mỹ
Supreme Beta Glucan 95% kích hoạt đại thực bào Macrophage, một loại bạch cầu chịu trách nhiệm một loạt các tác động bảo vệ và tăng cường hệ miễn dịch và tạo ra các đáp ứng tối ưu chống lại các yếu tố nguy hại với cơ thể, Macrophage là loại tế bào liên quan đến miễn dịch tự nhiên, chúng “nuốt” các yếu tố ngoại lai gây nguy hại cho cơ thể và phá hủy chúng. Macrophage cũng tạo ra các hóa chất, các hóa chất này sẽ kích hoạt các loại tế bào miễn dịch khác để tập trung bảo vệ cơ thể . Macrophage cũng tạo ra các yếu tố tăng trưởng cho các tế bào để tăng liền các mô bị thương tổn . Macrophage liên quan đến quá trình giải độc hàng ngày, cải thiện hệ vi khuẩn đường ruột, chống nhiễm trùng , chống khối u và bảo vệ sức khỏe tổng quát
Supreme Beta Glucan hỗ trợ điều trị ung thư hiệu quả chính hãng của Mỹ

No comments:
Post a Comment